Krakmolo Tinklinimas Ir Sacharozės Koncentracija

Krakmolo tinklinimas yra plačiausiai paplitusi reakcija, naudojama polisacharidų chemijoje. Po krakmolo tinklinimo kinta polisacharido kleisterių/tirpalų reologinės savybės, galima gauti visiškai netirpius, gerų mechaninių savybių medžiagas. Tinklinto krakmolo naudojimo sritys labai plačios, o vienas iš dažniausiai naudojamų tinklinimo agentų yra epichlorhidrinas.

Gamtinis bulvių ir kviečių krakmolas buvo tinklintas skirtingos koncentracijos epichlorhidrino kiekiu. Šis projektas yra ES struktūrinių fondų projektas, finansuojamas Europos socialinio fondo lėšomis pagal 2014-2020 metų Europos Sąjungos fondų investicijų veiksmų programos priemonę Nr.

Nustatyta, kad didesnės krakmolo granulės (bulvių) naudojant tą patį EPI kiekį susitinklina daugiau, nei mažesnės kviečių krakmolo granulės. Nustatytos gautų darinių reologinės savybės, tirpumas 1 M KOH tirpale.

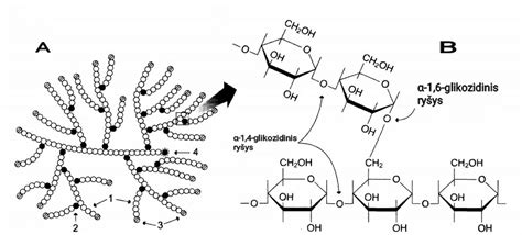
Krakmolo struktūra

Krakmolo tinklinimo svarba

Krakmolo tinklinimas yra svarbus procesas, nes jis leidžia modifikuoti krakmolo savybes, pritaikant jį įvairioms reikmėms. Tinklinant krakmolą, galima pagerinti jo stabilumą, atsparumą karščiui ir cheminėms medžiagoms, taip pat pakeisti jo reologines savybes, tokias kaip klampumas ir gelio formavimosi geba. Šios modifikacijos leidžia krakmolą naudoti įvairiose pramonės šakose, įskaitant maisto, farmacijos, popieriaus ir tekstilės pramonę.

Taip pat skaitykite: Sausųjų medžiagų įtaka ledų kokybei

Epichlorhidrinas kaip tinklinimo agentas

Epichlorhidrinas (EPI) yra vienas iš dažniausiai naudojamų tinklinimo agentų krakmolo modifikavimui. Jis reaguoja su krakmolo hidroksilo grupėmis, sudarydamas kryžmines jungtis tarp krakmolo molekulių. Šis procesas padidina krakmolo molekulinę masę ir sukuria trimatę tinklo struktūrą, kuri suteikia krakmolui naujų savybių. EPI yra populiarus dėl savo efektyvumo, prieinamumo ir reakcijos su krakmolu lengvumo.

Epichlorhidrino struktūra

Krakmolo granulių dydžio įtaka tinklinimui

Tyrimai parodė, kad krakmolo granulių dydis turi įtakos tinklinimo procesui. Didesnės krakmolo granulės, tokios kaip bulvių krakmolas, linkusios susitinklinti labiau nei mažesnės granulės, tokios kaip kviečių krakmolas, naudojant tą patį EPI kiekį. Tai gali būti paaiškinta tuo, kad didesnės granulės turi didesnį paviršiaus plotą, kuris leidžia daugiau EPI molekulių reaguoti su krakmolu. Be to, didesnės granulės gali turėti daugiau hidroksilo grupių, kurios gali reaguoti su EPI.

Bulvių krakmolo granulės

Tirpumo tyrimai

Tirpumo tyrimai 1 M KOH tirpale parodė, kad tinklinimas sumažina krakmolo tirpumą. Tai yra dėl to, kad kryžminės jungtys tarp krakmolo molekulių padidina molekulinę masę ir sumažina krakmolo gebėjimą disperguotis tirpale. Tirpumo sumažėjimas priklauso nuo EPI koncentracijos ir krakmolo granulių dydžio. Didesnės EPI koncentracijos ir didesnės granulės lemia mažesnį tirpumą.

Taip pat skaitykite: Variklio alyvos klampumo pokyčiai

„Specialus tyrimas“: kaip iš krakmolo ir sojos pagaminti aukščiausios rūžies dešreles?

Reologinės savybės

Reologinės savybės yra svarbios norint suprasti, kaip tinklintas krakmolas elgsis įvairiose aplikacijose. Tinklinimas gali pakeisti krakmolo klampumą, elastingumą ir gelio formavimosi gebą. Paprastai, tinklinimas padidina krakmolo klampumą ir elastingumą, taip pat pagerina jo gebėjimą formuoti stabilius gelius. Šios savybės yra svarbios maisto pramonėje, kur tinklintas krakmolas naudojamas kaip tirštiklis, stabilizatorius ir tekstūros modifikatorius.

Krakmolo tinklinimo panaudojimo sritys

Tinklinto krakmolo panaudojimo sritys yra labai plačios. Maisto pramonėje jis naudojamas kaip tirštiklis padažuose, sriubose ir desertuose, stabilizatorius pieno produktuose ir kepiniuose, bei tekstūros modifikatorius duonos gaminiuose ir užkandžiuose. Farmacijos pramonėje tinklintas krakmolas naudojamas kaip tabletės rišiklis, kapsulės užpildas ir vaistų nešiklis. Popieriaus pramonėje jis naudojamas kaip popieriaus stipriklis ir paviršiaus apdorojimo agentas. Tekstilės pramonėje tinklintas krakmolas naudojamas kaip audinių apdaila ir krakmolas.

Krakmolo panaudojimas

Savybė Poveikis Panaudojimo sritys
Klampumas Padidėja Maisto pramonė (padažai, sriubos), popieriaus pramonė
Tirpumas Sumažėja Farmacija (tabletės), audinių apdaila
Stabilumas Pagerėja Maisto pramonė (pieno produktai, kepiniai)

Taip pat skaitykite: Socialinio darbo metodai priklausomybėms įveikti

tags: #klampos #priklausomybe #nuo #sacharozes #kiekio